我之感于数学
数学是一把由灵魂所持的利剑
这把利剑啊
势必能让我冲破皮囊,冲破阶层
所幸
我所遇到数学老师都是
那么和蔼可亲
我所感于数学
从我初学开始
便就没有质的改变
学识尚浅,目前接触最深刻的只是微积分,看着历史上的数学大佬们费劲心思从无穷小量角度定义数学的实质,经常会被带入思考。
前些日遇到一个问题以题为例

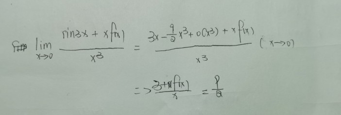
君请看第5题,下面尝试用等效替代和泰勒展开两种方法切入
1.等效替代

其解法符合等效替换原理,即将sin3x等效为3x可结果明显是错误的,为什么
提出原理,此题目所要求解的关系式,为一个整体极限

整体极限需要局部极限暴露实质,即

可知若直接用等效替换,会余出o(f(x))/x 无法约除。
2.泰勒展开

可见泰勒展开得出正确结果,为什么,因为泰勒展开所处层面非为极限层面,展开不需要极限辅助。
总结:等效替代不适用于整体极限,即若单独算极限得出常数,而该常数同时受到另一极限变量制约,则等效替代不成立,追寻泰勒展开消除影响。
第6题留于读者自己证明。